
近日,日本做爱 张晓勇老师在结构工程领域国际权威期刊《Thin-Walled Structures》上发表了研究成果(Hysteretic behavior of HCSW with varying corrugated geometric dimensions)。张晓勇老师为第一作者,北京工业大学陈誉教授为通讯作者,日本做爱 为第一完成单位。
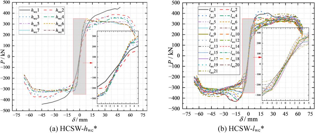
本研究通过低周往复加载试验与精细化有限元模拟相结合的方法,系统研究了H型钢框架波纹钢板剪力墙(HCSW)的滞回性能,其中内嵌波纹钢板采用波纹方向水平布置形式。研究以波纹钢板的单元波长和波高作为关键设计变量,深入探讨了不同几何尺寸对结构整体与局部性能的影响。试验与模拟结果系统揭示了钢框架与波纹墙板之间的协同工作机制、内力传递路径以及能量耗散模式。研究表明,波纹几何参数的变化显著影响墙板的屈曲模态、面外变形发展以及抗剪承载力发挥机制。在低周往复荷载作用下,波纹钢板通过面外屈曲变形有效耗能,钢框架则主要提供抗弯与抗倾覆能力,二者通过连接界面的相互作用实现了良好的变形协调。分析表明,合理的波纹几何设计能在延缓墙板过早局部屈曲的同时,确保整体结构具有稳定的滞回特性和优越的延性性能。该研究为可拆卸更换的波纹钢板剪力墙设计提供了关键参数依据,对推动可恢复功能结构的发展具有重要意义。
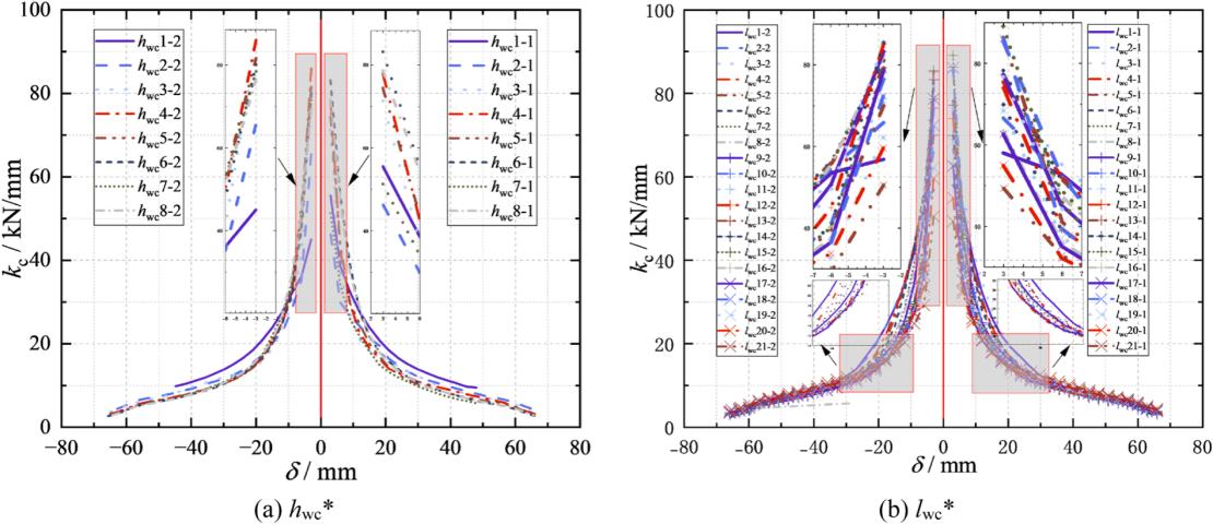
论文得出以下主要结论:(1)在低周往复荷载作用下,内嵌波纹钢板作为主要抗侧力与耗能构件,有效吸收了大部分外部输入能量。波纹构造显著提升了墙板的平面外稳定性,使其在发生面外屈曲后仍能保持较高的后续承载力,屈曲后强度得到充分利用,表现出优越的延性和稳定的耗能能力。(2)波纹几何参数对剪力墙力学性能具有规律性影响。研究表明,当波纹起始角大于45°时,试件侧向承载力随波长增大而呈现下降趋势;当波纹起始角小于45°时,承载力则随波长增加而提高。此外,在不同波高试件中,结构的等效粘滞阻尼系数与累积耗能能力均随波纹起始角增大而显著增强,体现了该参数对结构耗能性能的关键调控作用。(3)基于力学平衡与变形协调原理,本研究推导提出了适用于HCSW系统的初始抗侧刚度理论计算公式。该公式综合考虑了波纹钢板剪切刚度、框架梁柱贡献及连接协同效应,经试验与模拟结果验证,具有较好的计算精度,能为同类工程的设计提供理论依据。(4)该结构体系体现了可恢复功能的设计理念。在设防地震下,内嵌波纹钢板作为“可更换耗能部件”先行进入屈服耗能状态,有效保护主体框架处于弹性阶段;震后可通过局部拆卸与更换受损墙板,快速恢复结构使用功能。这一特性显著提升了建筑结构的震后可恢复性,延长了其全寿命使用周期,同时降低了因结构严重损坏而产生的直接经济损失与间接社会成本,具有良好的工程应用价值与经济性优势。
本研究提出的装配式H型钢框架波纹钢板剪力墙,通过可拆卸的波纹墙板设计,实现了震后损伤构件的快速更换,解决了传统结构损伤耦合与修复困难的问题,为可恢复功能结构提供了新思路。
图1. 结构试件示意图

图2. 加载装置示意图
图3. 结构试件破坏过程

图4. 骨架曲线
图5. 抗侧刚度退化曲线
供稿:张晓勇;供图:张晓勇;初审:李强;终审:柳任飞;编辑:许历隆




